Skip to content
NATURE'S WATCH HOMEOWNERS ASSOCIATION
An Upstate South Carolina Community
Menu
Homeowners Association Bylaws
Articles of Incorporation
Declaration of Covenants
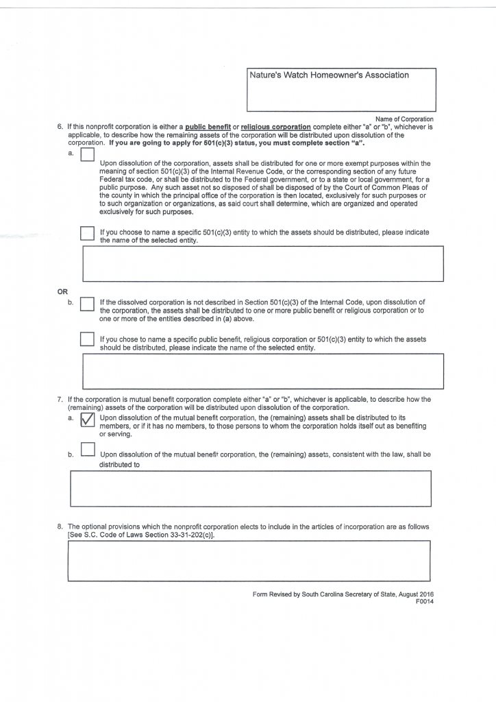
Articles of Incorporation
Articles of Incorporation